As well as providing the bedstone for modern physics and the sciences, mathematics has often strayed into the metaphysical. It’s therefore no coincidence that many theologians and mystics were often competent mathematicians.
One such theologian and philosopher was Anselm of Canterbury (1033–1109) who proposed a so-called ontological argument in the second and third chapters of his famous Proslogion. In essence the argument attempts to use the language of Greek axiomatic logic to prove the existence of god.
“For I do not seek to understand in order that I may believe, but I believe in order to understand! For this also I believe – ‘that unless I believe I shall not understand’.” – St Anselm of Canterbury circa 1077
Anselm’s Ontological Argument
Here is Anselm’s argument step by step:
1. Let ‘God’ be a being about which nothing greater can be conceived or imagined.
2. ‘God’ exists as an idea in the human mind.
3. A being that exists as an idea in the mind and in reality is clearly greater than a being that exists only as an idea in the mind.
4. Thus, if God exists only as an idea in the mind, we can imagine something greater than God.
5. But we cannot imagine something that is greater than God (a contradiction of statement 1).
6. Therefore, ‘God’ exists.
Whilst this argument cannot be judged as serious mathematics it does offer an interesting insight into the historical interplay between religion, philosophy and mathematics. Much of the modern fundamentals of mathematics use analogous axiomatic-theoretic language to build desired rigour. It also has an undeniable elegance – it attempts to prove existence using only the definition of God as a basis.
Godel and God
Surprisingly Anselm’s original ontological argument has been developed into modern times, most famously by the Austrian meta-mathematician Kurt Godel.
This work came to light only after Godel’s death in 1978. Famous for his incompleteness theorem, Godel was a tangential thinker who liked to stress-test logical and axiomatic structures and explore where they could lead – sometimes rigour and clarity yes, but also outright insanity.
Essentially Godel took Anselm’s original argument and set about adding mathematical rigour using the formal framework of modal logic. Achieving this involved building definitions and axioms over and above the more simplistic construction of Anselm. At the root of this construction was the idea of something being true on a finite number of infinite worlds (weak truth), or on all possible world (strong truth).
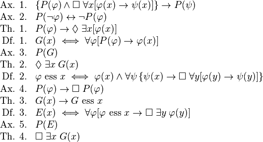
The full proof is very long so I’ll record only a flavour of it here using some of the definitions, axioms and Theorems Godel constructed.
- Definition 1: x is God-like if and only if x has as essential properties those and only those properties which are positive
- Definition 2: A is an essence of x if and only if for every property B, x has B necessarily if and only if A entails B
- Definition 3: x necessarily exists if and only if every essence of x is necessarily exemplified
- Definition 4: if x is an object in some world, then the property P is said to be an essence of x if P(x) is true in that world and if P entails all other properties that x has in that world.
- Axiom 1: Any property entailed by—i.e., strictly implied by—a positive property is positive
- Axiom 2: A property is positive if and only if its negation is not positive
- Axiom 3: The property of being God-like is positive
- Axiom 4: If a property is positive, then it is necessarily positive
- Axiom 5: Necessary existence is a positive property
- Theorem 1: If a property is positive, then it is consistent, i.e., possibly exemplified.
- Theorem 2: The property of being God-like is consistent.
- Theorem 3: If something is God-like, then the property of being God-like is an essence of that thing.
- Theorem 4: Necessarily, the property of being God-like is exemplified.
And using formal modal logic notation:
It’s important to note that this work did not imply Godel believed in God. In fact his scepticism was likely the reason this work was kept under wraps for most of his life. His friend Oskar Morgenstern stated that Godel didn’t disclose out of fear others might think “that he actually believes in God, whereas he is only engaged in a logical investigation – that is, in showing that such a proof with classical assumptions correspondingly axiomatized, is possible.”.
It’s interesting that Godel’s proof only considered existence – he didn’t extend the work into that equally important ream of mathematical fundamentals – uniqueness. Which leaves open the possibility of a universe overcrowded with powerful deities!
“The more I think about language, the more it amazes me that people ever understand each other at all.” – Kurt Godel


